7. Potenzreihen und elementare Funktionen
Kein Frame mit dem Inhaltsverzeichnis ? => Frameset
laden
7.1 Exponentialfunktion und Logarithmus
7.1.1 Die (komplexe) Exponentialfunktion lautet:
7.1.2 Die reelle Exponentialfunktion lautet:
7.1.3 Deren Umkehrfunktion ln(x) heißt natürlicher Logarithmus.
7.1.4 Die reelle Exponentialfunktion zur Basis a lautet:
7.1.5 Der Logarithmus zur Basis a lautet:
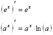
7.1.6 Ableitungen von Exponentialfunktionen:
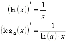
7.1.7 Ableitungen von Logarithmusfunktionen:
7.1.8 Wichtige Eigenschaften der Exponentialfunktion:
7.1.9 Wichtige Eigenschaften der Logarithmusfunktion:

7.1.10 Die Graphen von ex und ln(x):

7.2 Trigonometrische Funktionen
7.2.3 Wichtige Eigenschaften der Sinus- und Cosinus-Funktionen:
7.2.3.1 Symmetrie:
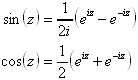
7.2.3.2 Eulersche Formeln:
7.2.3.3 Pythagoras:
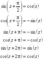
7.2.3.4 Additionstheoreme:
7.2.3.5 Periodizität:
7.2.3.6 Ableitungen der reellwertigen Funktionen:
7.2.4 Die Graphen von sin(x), cos(x), Arcsin(x) und Arccos(x):

7.2.5 Reelle Tangensfunktion, reelle Cotangensfunktion:
7.2.5.1 Wichtige Grenzwerte:
7.2.5.2 Periodizität:
7.2.5.3 Additionstheoreme:
7.2.5.4 Ableitungen:
7.2.6 Die Graphen von tan(x), cot(x), Arctan(x) und Arccot(x):
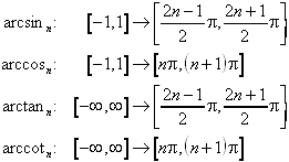
7.2.7 Umkehrfunktionen der trigonometrischen Funktionen:
Weil bei trigonometrischen Funktionen immer nur ein Intervall von einer halben Periode eineindeutig ist, werden die Umkehrfunktionen für einzelne Intervalle definiert. Diese tragen einen Index n, der besagt, an der wievielten Periode die jeweilige Funktion umgekehrt wurde.
n = 0 beschreibt die Hauptzweige der Umkehrfunktionen:
7.2.7.1 Symmetrie-Eigenschaften:
Mit
gilt:
Mit x
[-1,1] gilt:
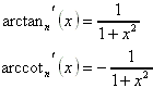
7.2.7.2 Ableitungen:
Mit x
[-1,1] gilt:
Mit
gilt:
Allgemein läßt sich über diese Umkehrfunktionen sagen, daß sie durch Spiegelung der
ursprünglichen Funktion an der Geraden y = x erzeugt werden.
7.3.3 Schreibweise mit Exponentialfunktionen:
7.3.4 Symmetrie-Eigenschaften:
7.3.6 Zusammenhang mit der sin- bzw. cos-Funktion:
7.3.7 Es gilt die Moivresche Formel:
7.3.10.1 Area sinus hyperbolicus:
7.3.10.2 Area cosinus hyperbolicus:
7.3.10.3 Schreibweise mit natürlichem Logarithmus:
7.3.10.4 Ableitungen der Umkehrfunktionen:
7.3.11 Die Graphen von sinh(x), cosh(x), arsinh(x) und arcosh(x):

7.3.12 Reeller Tangens hyperbolicus und Cotangens hyperbolicus:
7.3.12.1 Additionstheoreme:
7.3.12.2 Grenzwerte:
7.3.12.3 Ableitungen:
7.3.13 Umkehrfunktionen: Area tangens hyperbolicus und Area cotangens hyperbolicus:
Ferner gilt:
7.3.13.1 Schreibweise mit natürlichem Logarithmus:
7.3.13.2 Ableitungen:
7.3.14 Die Graphen von tanh(x), coth(x), artanh(x) und arcoth(x):

Kapitel 8: Anwendung der Differentialrechnung