4. Folgen und Reihen
         
Kein Frame mit dem Inhaltsverzeichnis ?  => Frameset
laden
 
Unter einer Teilfolge versteht man eine Folge, die durch Wegstreichen von bestimmten Gliedern aus einer anderen Folge, aber ohne Veränderung der Reihenfolge, 
aus jener Folge entsteht.
Eine Folge oder Reihe konvergiert, wenn die Differenz zwischen einem Folgenglied (bzw. die Folge der Partialsummen der Reihe) und dem zugehörigen Grenzwert jeden beliebigen reellen Wert unterschreiten kann:
Eine nicht konvergente Folge (oder Reihe) heißt divergent. Sie heißt bestimmt divergent, wenn gilt:
Eine Folge heißt beschränkt, wenn es eine positive reelle Zahl gibt, die gegenüber dem einzelnen Absolutbetrag jedes einzelnen Folgengliedes immer größer (oder 
gleich) ist. Sie ist nach unten beschränkt, wenn der Absolutbetrag |a| = -a ist und nach oben beschränkt, wenn |a| = a ist. Eine Vektorfolge heißt beschränkt, 
wenn der Betrag der Folgenvektoren beschränkt ist. Dies wiederum ist der Fall, wenn jede Kompnentenfolge beschränkt ist.
Wenn alle k sind, kann für Folgen formuliert werden:
Die Eulersche Zahl e ist der Grenzwert einer Folge:
4.1.7 Konvergenzkriterium von CAUCHY:
Satz und Definition: Eine reelle oder komplexe Folge bzw. Vektorfolge ist genau dann konvergent, wenn sie eine Cauchy-Folge ist, d.h. es gibt zum 
 eine 
Zahl 
, für die existiert
4.1.8 Rekursiv definierte Folgen:
Die Folgenglieder werden mit Hilfe des vorherigen bestimmt, z.B.:
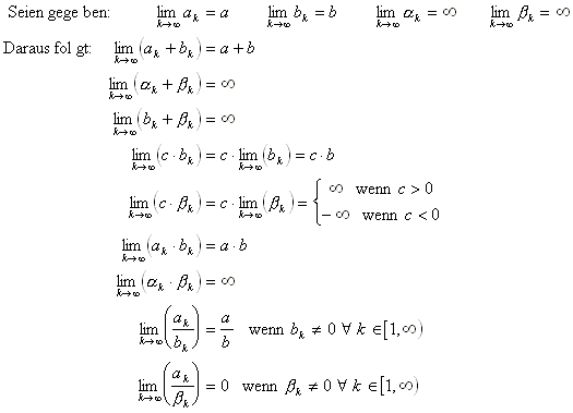
4.1.9 Regeln bei Grenzwertbestimmungen:

Folgen, die mit jedem Folgenglied zwischen positiven und negativen Werten schwanken, heißen alternierende Folgen.
Beispiel:
Wird einer unendlichen Folge von Zahlen eine Summe zugeordnet, die als Summanden die Folgenglieder haben, so heißt diese Summe unendliche Reihe. 
Werden nur die Folgenglieder bis zur Stelle k addiert, so spricht man von der k-ten Partialsumme der Reihe. Die Konvergenz, Divergenz und Monotonie wird 
definiert wie bei Folgen.
4.2.1 CAUCHY-Kriterium für Reihen:
Es besagt analog zum Cauchy-Kriterium für Folgen, daß es zu jeder Differenz zweier Partialsummen m und n, welche kleiner als ein 
 ist, ein 
 gibt, für 
das gilt: 
. Allgemein muß gelten, daß die Folge der Partialsummen konvergiert. 
Beispiel: Die harmonische Reihe 
 ist divergent. 
Erfüllt eine Reihe das Cauchy-Kriterium, so gilt:
![]()
4.2.2 Majoranten- und Minorantenkriterium:
Mit der Reihe 
, läßt sich sagen: 
4.2.2.1 Die konvergente Reihe 
 heißt Majorantenreihe von 
, wenn ab einer bestimmten Stelle N0 das Reihenglied bk ständig größer ist 
als |ak|. Dann ist die Reihe 
 absolut konvergent.
4.2.2.2 Die divergente Reihe 
 heißt Minorantenreihe von 
, wenn ab einer bestimmten Stelle N0 das Reihenglied ck ständig kleiner ist 
als |ak|. Dann ist die Reihe 
 divergent (die Reihe 
 nicht absolut konvergent).
Allgemein lautet sie:
Bedingung für Konvergenz: |q| < 1:
Bedingung für Divergenz: |q| 
 1: 
4.2.4 Das Quotientenkriterium:
Es sei 
 eine beliebige Reihe. Es gilt für diese Reihe: 

Die Reihe 
 ist gegeben. 

4.2.6 Konvergenzkriterium von Leibniz für alternierende Reihen:
Ist die Folge der Reihenglieder monoton fallend und deren Grenzwert null, so ist die Reihe konvergent.
4.2.7 Cauchy-Produkt, Satz von Mertens:
Das Cauchy-Produkt zweier Reihen wird definiert als:
Satz von Mertens: Konvergiert eine Reihe gegen A und eine andere gegen B, so konvergiert ihr Cauchy-Produkt gegen AB.
Kapitel 5: Funktionen, Grenzwerte und Stetigkeit