16. Integralsätze und Vektoranalysis
Kein Frame mit dem Inhaltsverzeichnis ? => Frameset
laden
16.1 Satz von Gauß in Ebene und Raum
16.1.1 Divergenz eines Vektorfeldes:
Es gilt (übertragbar in Ebene und Raum):
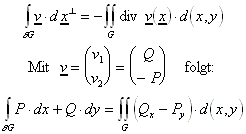
16.1.2 Satz von Gauß in der Ebene:
Sei G ein geeignetes Gebiet des
(sternförmig). Sei weiter die Randkurve
so parametrisiert, daß G "links" von
liegt. Es sei v ein stetig differenzierbares
Vektorfeld. Dann gilt:
Sei G ein geeignetes Gebiet des
(sternförmig). Die Randfläche sei durch x(u,v) so parametrisiert, daß
nach "außen" zeigt. Es sei v ein stetig
differenzierbares Vektorfeld. Dann gilt:
Als Fluß von v durch
wird das Integral
bezeichnet.
16.1.5 Zirkulation von Vektorfeldern:
Sie ist für alle geschlossenen C definiert als
.
Ist Z = 0 bzw.
,
dann heißt das Vektorfeld v zirkulationsfrei.
16.2.1 Rotation eines Vektorfeldes:
Die Rotation rot v ist definiert als:
Ist rot v = 0, so handelt es sich um ein wirbelfreies Feld. v ist dann ein Potentialfeld im entsprechenden Gebiet.
Es sei F ein Flächenstück definiert auf einem Parameterbereich
. Dieser sei so beschaffen, daß der Satz von Gauß anwendbar ist.
Außerdem sei die Abbildung
, die F bestimmt, zweimal stetig differenzierbar. Ist nun das Vektorfeld v auf einem Gebiet, das F enthält, stetig
differenzierbar, so gilt der
Satz von Stokes:
Es sei
stetig differenzierbar und G sternförmig. Es existiert ein "Vektorpotential" a als ein in
stetig differenzierbares Feld mit
, wenn in
folgendes gilt:
16.3
-Rechnung (Nablarechnung)
Er wird folgendermaßen definiert:
Für skalare Felder j, y und für Vektorfelder f, g gilt:

16.4 Der Green'sche Integralsatz
16.4.1 Green'scher Integralsatz:
Es sei
ein Gebiet im
, so daß der Satz von Gauß gilt. Sind u, v auf zweimal stetig differenzierbar, dann gilt mit dem nach außen gerichteten
Normaleneinheitsvektor n von G:
Hierbei ist D der Laplace-Operator.
Es sei G ein Gebiet, so daß der Satz von Gauß gilt, und es sei U zweimal stetig differenzierbar in
. Gilt Du = 0 auf G, so ist für x0 aus
G:

16.5 Exakte Differentialgleichungen
16.5.1 Exakte Differentialgleichungnen:
Eine Differentialgleichung der Form
mit stetigen Funktionen
heißt in G exakt, wenn es eine stetig differenzierbare Funktion F gibt die die folgende Bedingung erfüllt:
F muß also das Potential des Vektorfeldes
sein.
Häufig schreibt man exakte Differentialgleichung in der Form
.
Für das Potential F gilt:
16.5.2 Exakte Differentialgleichungen in sternförmigen Gebieten:
In sternförmigen Gebieten mit stetigen Funktionen
gilt Folgendes:
ist genau dann exakt, wenn
gilt. Diese Bedingung heißt Integrabilitätsbedingung.
16.5.3 Spezielle Vektorpotentiale:
Hat das Potential F die Form
,
dann ist f(x) Lösung der Differentialgleichung
.
16.5.4 Singuläre Punkte von exakten Differentialgleichungen:
Diese ergeben sich aus diesem Gleichungssystem:
16.5.5 Integrierender Faktor m(x,y):
Als integrierenden Faktor bezeichnet man den zweimal stetig differenzierbaren Term m(x,y), der nicht null ist, welcher sich aus dieser Bedingung ergibt.
Damit werden nicht exakte Differentialgleichungen zu exakten Differentialgleichungen.
Die Lösung erhält man dann wieder aus
.
16.5.6 Bestimmung von integrierenden Faktoren für bestimmte Differentialgleichungen:
16.5.6.1 Stellt
eine nur von x abhängige Funktion dar, dann ist:
16.5.6.2 Stellt
eine nur von y abhängige Funktion dar, dann ist:
16.5.7 Implizite Lösungen von nicht exakten Differentialgleichungen:
16.5.7.1 Wesentlich verschieden heißen zwei integrierende Faktoren m und n, wenn es keine reelle
Zahl l gibt, so daß
16.5.7.2 Implizite Lösung:
Anhang: Tabellen und Kurzreferenzen