15. Kurven- und Oberflächenintegrale
Kein Frame mit dem Inhaltsverzeichnis ? => Frameset
laden
15.1 Orientierte und nicht orientierte Kurvenintegrale
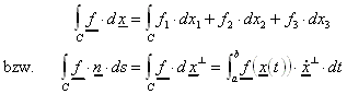
15.1.1 Orientiertes Kurvenintegral:
Sei
eine Parameterdarstellung der Kurve C. Es sei
eine stetige Funktion. Dann heißt
orientiertes Kurvenintegral von f längs C.
Andere Schreibweise:

15.1.2 Nicht orientiertes Kurvenintergal:
Ist
stetig, so heißt
nicht orientiertes Kurvenintegral von j längs C.
15.1.3 Eigenschaften von Kurvenintegralen, Rechenregeln:
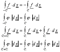
15.1.3.1 Bei zulässigen Parametertransformationen verändern orientierte und nicht orientierte Kurvenintegrale ihren Wert nicht.
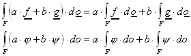
15.1.3.2 Für reelle a, b , stetige Skalarfelder j, y , und stetige Vektorfelder f, g gilt:
15.1.3.3 Weitere Eigenschaften sind:
15.1.3.4 Es gelten folgende Abschätzungen:
15.1.4 Potential eines Vektorfeldes:
Ist C eine geschlossene Kurve innerhalb eines sternförmigen Gebietes, und existiert ein skalares Feld j, so daß
ist, dann gilt immer
j heißt Potential des Vektorfeldes f.
| Unter einem sternförmigen Gebiet versteht man ein Gebiet im | ![]() |
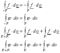
15.2 Orientierte und nicht orientierte Oberflächenintegrale
Allgemein betrachtet man Oberflächenintegrale ebenso wie Kurvenintegrale.
15.2.1 Orientiertes Oberflächenintegral:
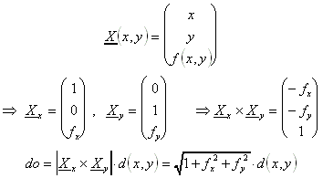
Sei
eine Parameterdarstellung des Flächenstückes F. Es sei
ein stetiges Vektorfeld. Dann heißt
orientiertes Oberflächenintegral von f auf F.
Ähnlich setzt man das komponentenweise zu integrierende Integral
.
15.2.2 Nicht orientiertes Oberflächenintegral:
Ist
eine stetige skalare Funktion so heißt
nicht orientiertes Oberflächenintegral von j auf F.
15.2.3.1 Oberflächenintegrale verändern ihren Wert nicht, falls eine zulässige Parametertransformation durchgeführt wird.
15.2.3.2 Für reelle a, b , stetige Funktionen j, y , und stetige Vektorfelder f, g gilt:
15.2.3.3 Weitere Eigenschaften sind:
15.2.3.4 Es gelten folgende Abschätzungen:
15.2.4 Explizit gegebene Funktionen:
Ist F explizit gegeben durch eine Funktion z = f(x,y), dann läßt sich sagen:

Kapitel 16: Intergalsätze und Vektoranalysis