14. Kurven und Flächen
Kein Frame mit dem Inhaltsverzeichnis ? => Frameset
laden
14.1.1 Parameterdarstellung eines Kurvenbogens, Parametertransformation:
heißt Parameterdarstellung eines Kurvenbogens, wenn x(t) stetig und differenzierbar ist, sowie die Ableitung nach t im Intervall [a,b] nicht null ist.
Eine Parametertransformation heißt "zulässig", wenn sie bijektiv und stetig ist, sowie überall eine positive Ableitung besitzt. Bei zulässigen
Parametertransformationen ändert sich die Richtung einer Tangente nicht.
14.1.2 Spezielle zulässige Parametertransformation auf "Bogenlänge":
Die Länge einer allgemeinen Kurve lautet:
Dies ist eine zulässige Parametertransformation.
14.1.3 Tangentenvektor, Normalenvektor und Krümmung einer Kurve im
:
Tangentenvektor:
Normalenvektor: 
Krümmung: 
14.1.4 Begleitendes Dreibein einer Kurve im
:
Sei x(s) eine Parameterdarstellung einer Kurve im
parametrisiert nach der Bogenlänge.
Dann heißen
Tangentenvektor,
Hauptnormalenvektor
und
Binormalenvektor.
heißt begleitendes Dreibein der Kurve. Es bildet eine Orthogonalbasis des
.
Sei x(s) eine Parameterdarstellung einer Kurve im
parametrisiert nach der Bogenlänge.
sei das begleitende Dreibein.
Man nennt dann
Krümmung und
Torsion oder Windung.
Daraus folgt dieses Differentialgleichungs-System:

Mit x' = t ist x(s) dann bis auf eine Translation eindeutig bestimmt.
14.1.6 Bezüglich der Zeit parametrisierte Kurven im
:
Tangentenvektor: ![]()
Binormalenvektor: ![]()
Hauptnormalenvektor: ![]()
Krümmung: 
Torsion / Windung: 
14.2 Einführung in die lokale Theorie der Flächen im ![]()
14.2.1 Parameterdarstellung eines Flächenstückes, Parametertransformation:
![]()
heißt Parameterdarstellung eines Flächenstücks x(G) im
, falls x in G stetig differenzierbar ist und für alle (u,v) aus G gilt:
Eine Parametertransformation
heißt zulässig, falls f bijektiv und stetig differenzierbar ist. Darüber hinaus muß die Jacobideterminante positiv sein.
für alle (u,v) aus G.
Ist f eine zulässige Parametertransformation, dann ändert sich die Richtung von
unter f nicht.
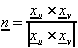
Normalenvektor der Fläche x(G):
![]()
Sei
die Parameterdarstellung einer ebenen Kurve in G. Dann ist
die Parameterdarstellung einer Kurve auf der
Fläche x(G).
Deren Tangentenvektor ist gegeben durch:
Die Tangente liegt in der von xu und xv aufgespannten Ebene. ![]()
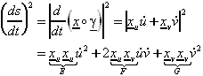
14.2.3 Koeffizienten der 1. Fundamentalform:
Die Bogenlänge wird bestimmt durch
E, F, G heißen Koeffizienten der 1. Fundamentalform.
Schreibweise: ![]()
14.2.4 Eigenschaften, Anwendungen:
Sei
die Parameterdarstellung der Fläche x(G) und E, F, G die Koeffizienten der 1. Fundamentalform. Dann kann Folgendes formuliert werden:
14.2.4.1 Ist
die Parameterdarstellung einer Kurve in G, und die Verkettung von x und g verbinde auf G die Punkte a und b. Dann gilt
für die Bogenlänge s der Flächenkurve:
14.2.4.2 Seien g1 und g2 die Parameterdarstellungen zweier Kurven in G, die sich für ein t schneiden. Dann schneiden sie sich unter dem Winkel
a mit
14.2.4.3 Durch
wird der Flächeninhalt des von xu und xv aufgespannten Parallelogramms bestimmt.
14.2.5 Flächen in expliziter Form:
Es gilt allgemein:

Kapitel 15: Kurven- und Oberflächenintergale