1. Zahlbereiche und ihre Eigenschaften
Kein Frame mit dem Inhaltsverzeichnis ? => Frameset
laden
Symbol: ![]()
Symbol: ![]()
Symbol: 
Symbol:
1.4.1.1 a + b = b + a
1.4.1.2 (a + b) + c = a + (b + c)
1.4.1.3 Die Gleichung a + x = b ist immer eindeutig lösbar.
1.4.1.4 - (-a) = a
1.4.2 Axiome der Multiplikation:
1.4.2.1 a × b = b × a
1.4.2.2 (a × b) × c = a × (b × c)
1.4.2.3 a × (b + c) = a × b + a × c
1.4.2.4 Die Gleichung a × x = b ist für alle a
0 eindeutig lösbar.
1.4.3.1 a < b und b < c
a < c
1.4.3.2 a < b; c beliebig
a + c < b + c
1.4.3.3 a < b; c > 0
a × c < b × c
Zu jeder reellen Zahl x gibt es eine natürliche Zahl n, für die gilt: n > |x|
Zu jeder reellen Zahl x > 0 gibt es eine natürliche Zahl n, für die gilt: n-1 < x
1.4.5 Axiom der Vollständigkeit:
Jede Verknüpfung zweier reeller Zahlen gemäß dieser Axiome ergibt wieder eine reelle Zahl.
1.4.6 Bemerkung:
Dreiecksungleichung:
Symbol:
Die Menge der komplexen Zahlen ist ein algebraischer Körper bezüglich Addition und Multiplikation.
Imaginäre Einheit: ![]()
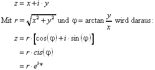
Schreibweise einer komplexen Zahl z:

Es gilt die Dreiecksungleichung.
Die Exponentialschreibweise von z wird als Polarform von z bezeichnet.
1.6 Das Prinzip der vollständigen Induktion
Es sei n0 eine natürliche Zahl und A(n) für alle natürlichen Zahlen
eine Aussage. Es gelte:
1.6.1 Induktionsanfang: A(n0) ist eine wahre Aussage.
1.6.2 Induktionsvoraussetzung: Die Annahme der Gültigkeit dieser Aussage für alle ![]()
1.6.3 Induktionsschluß: [A(n)
A(n+1)] ist wahr für alle ![]()
Damit ist die Gültigkeit der Aussage A(n) bewiesen.
1.6.4 Beispiel: Bernoullische Ungleichung:
Es sei x eine reelle Zahl mit
. Ferner sei n eine natürliche Zahl. Dann gilt für alle n die Bernoullische Ungleichung:
Beweis unter Verwendung vollständiger Induktion:
Induktionsanfang:
(gilt insbesondere für
)
Induktionsannahme: Die Behauptung gelte für ein
, also
.
Induktionsschluß: Zu zeigen ist, daß die Behauptung dann auch für n + 1 gilt, also
. Außerdem gilt: Da
ist, ist
.
Daraus folgt:
Damit ist die Gültigkeit der Bernoullischen Ungleichung bewiesen.
1.7 Fakultät, Binomialkoeffizient, Binomischer Lehrsatz
1.7.2 Der Binomialkoeffizient:
1.7.3 Der Binomische Lehrsatz:
(siehe Pascalsches Dreieck)
Der binomische Lehrsatz kann mittels vollständiger Induktion bewiesen werden.
| k =0 | ||||||||||||||||
| k =1 | ||||||||||||||||
| n =0 | 1 | k =2 | ||||||||||||||
| n =1 | 1 | 1 | k =3 | |||||||||||||
| n =2 | 1 | 2 | 1 | k =4 | ||||||||||||
| n =3 | 1 | 3 | 3 | 1 | k =5 | |||||||||||
| n =4 | 1 | 4 | 6 | 4 | 1 | k =6 | ||||||||||
| n =5 | 1 | 5 | 10 | 10 | 5 | 1 | ||||||||||
| n =6 | 1 | 6 | 15 | 20 | 15 | 6 | 1 |

1.8 Der Fundamentalsatz der Algebra
Ein Polynom n-ten Grades kann immer folgendermaßen umgeformt werden:
Die Zahlen zi heißen Nullstellen des Polynoms P.
Jedes Polynom ungeraden Grades mit reellen Koeffizienten hat mindestens eine reelle Nullstelle.
Kapitel 2: Vektorrechnung, analytische Geometrie, lineare Gleichungssysteme